-
By Joshua Friedman
- Uploaded on Mar 23, 2022.
- Last modified by Joshua Friedman on Apr 4, 2022.
- Rating
- Appears in
- Miscellaneous
- Condition/keywords
- visual cycle
- Description
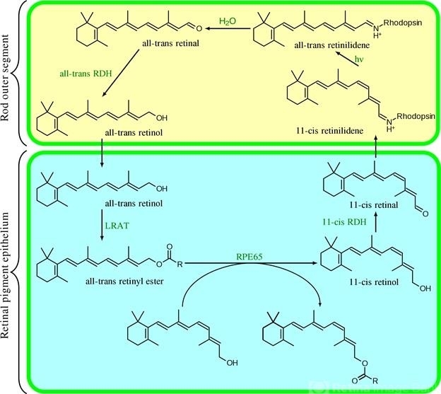
- This diagram is associated with the Retina Atlas chapter on Visual Cycle Disease, which can be found here: https://atlas.asrs.org/article/visual-cycle-disease-118#

Initializing download.